Premessa: Questo articolo era in realtà una relazione realizzata in ambito scolastico. Data però la scarsa presenza su Internet di informazioni riguardanti questo argomento, ho deciso di metterla a disposizione di chiunque. Non prendetemi con un esperto sull'argomento!!
Sommario:
Si definisce oscillatore un circuito in grado di generare una forma d'onda qualsiasi, senza alcun segnale applicato in ingresso. La forma d'onda generata ha una certa ampiezza VM, che si misura in Volt (V), una certa frequenza f, che si misura in Hertz (Hz), e un certo periodo T, che si misura in secondi (s). Ricordiamo che tra frequenza e periodo sussiste la seguente relazione:
f = 1 / T
Ovvero la frequenza è l'inverso del periodo. Un generatore si dice:
- Sinusoidale se genera una forma d'onda di tipo sinusoidale.
- Triangolare se genera una forma d'onda di tipo triangolare.
- A onda quadra se genera una forma d'onda quadra o rettangolare.
- A frequenza audio se genera una forma d'onda udibile dall'orecchio umano, e cioè ad una frequenza compresa tra i 20Hz e i 20Khz.
- A radio frequenza se genera frequenze superiori a 20 kHz.
Prima di addentrarci nel funzionamento e nelle caratteristiche degli oscillatori al quarzo, ritengo sia utile spiegare, anche al fine di capire meglio di cosa si sta parlando, in quali campi e in quali applicazioni vengono utilizzati gli oscillatori, sia questi al quarzo, sia di altra natura.
Gli oscillatori sono impiegati per produrre segnali a frequenze audio o radio, per una grande varietà di applicazioni. Ad esempio, semplici oscillatori a frequenze audio sono usati nei moderni telefoni a tastiera per inviare alla centrale i segnali di selezione. Toni audio generati con oscillatori si trovano anche in sveglie, radio, strumenti elettronici, computer e sistemi di allarme. Oscillatori ad alta frequenza sono usati negli apparati per le funzioni di sintonizzazione e ricerca di segnali.
Nell’ambito delle telecomunicazioni gli oscillatori vengono utilizzati in tutte le operazioni di modulazione e demodulazione.
Vengono inoltre molto utilizzati nell’ ambito dell’elettronica digitale, specialmente nei sistemi a microprocessore. In questi, infatti, il circuito di temporizzazzione è basato su un clock, che altro non è che un oscillatore al quarzo. Sempre nell’ambito dell’elettronica gli oscillatori vengono utilizzati come generatori di funzioni o come segnale di clock per circuiterie di test.
In questa relazione si intende parlare esclusivamente degli oscillatori al quarzo, ma prima di introdurre questo argomento può essere utile conoscere, in forma generale, altri tipi di oscillatori, utilizzati di frequente in ambiti sia elettronici che fisici.
Alcuni oscillatori, che sono detti "a rilassamento", si basano sul principio di carica e scarica ciclica di un condensatore. Quando un condensatore è attraversato da una tensione comincia a caricarsi; quando questa tensione non gli viene più applicata, comincerà invece a perdere la carica accumulata. Applicando alternativamente una tensione ai capi del condensatore, questo comincerà quindi a produrre un segnale sinusoidale. Questo tipo di oscillatore non è però molto utilizzato, al contrario di un altro tipo di oscillatore basato su amplificatori operazionali.
Fondamentale infatti, nella maggior parte degli oscillatori che non si basano sul principio descritto in precedenza, vi è la presenza di un amplificatore di tensione con una reazione positiva. Questo termine significa che il circuito è progettato in modo tale che parte del segnale di uscita venga riportato in ingresso all’amplificatore, però in fase, in modo tale che il segnale, anche se piccolo, venga amplificato e lo si ritrovi in uscita con ampiezza maggiore; si dice così che l'amplificatore oscilla, cioè genera una oscillazione.
Il disegno della Figura 1 è un esempio di oscillatore basato su un amplificatore operazionale, in grado di produrre forme d’onda di tipo rettangolare.
Veniamo finalmente ora a parlare degli oscillatori al cristallo di quarzo.
Certi cristalli producono cariche di segno opposto quando si esercita uno sforzo tra due superfici; viceversa, si deformano quando si applica ad essi una tensione mediante due elettrodi. Questo fenomeno è chiamato effetto piezoelettrico. In altri termini, questo fenomeno consiste nel fatto che tali cristalli subiscono deformazioni meccaniche se sottoposti ad un campo elettrico e, viceversa, generano un campo elettrico se sottoposti a deformazioni meccaniche. Questi cristalli vengono appunto chiamati piezoelettrici (piezoelectric crystals). Il più comune tra questi è il quarzo, ma anche altri elementi naturali, come la formalina e il sale di Rochelle, o artificiali, come alcune ceramiche, godono di tali proprietà.. Essi vengono comunemente impiegati come trasduttori da un segnale meccanico ad uno elettrico o viceversa, oppure anche come sensori di grandezze meccaniche.
Perché di un cristallo piezoelettrico si possa sfruttarne le caratteristiche, questo deve essere tagliato in lamine parallele a determinati assi cristallografici e inserito fra due elettrodi. Il tutto costituisce un sistema elettromeccanico che vibra se opportunamente eccitato. La frequenza di risonanza f è legata allo spessore d dalla relazione:
f = 1666 / d
dove f è espressa in MHz e d in mm.
Per ottenere un oscillatore al quarzo realmente funzionante, occorre inserire il cristallo in un circuito reazionato positivamente, in modo da farlo risonare nella sua zona induttiva. Poiché il fattore di qualità Q del quarzo, cioè il rapporto fra la sua parte reattiva rispetto a quella resistiva è dell'ordine di 10^6, la frequenza di oscillazione del circuito coinciderà con quella di risonanza del quarzo stesso, in modo quasi indipendente dalle altre reattanze presenti nel circuito.
Gli oscillatori a cristallo vengono molto utilizzati in ambiti di elevata precisione, in quanto le loro caratteristiche sono estremamente stabili sia rispetto al tempo che alla temperatura.
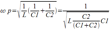
Un oscillatore al quarzo può essere ricondotto ad un circuito equivalente, di cui quello in Figura 2 ne è lo schema. In questo circuito L, R, C1 dipendono dalle caratteristiche meccaniche del cristallo, mentre C2 rappresenta la capacità fra gli elettrodi applicati al cristallo e risulta di valore molto più elevato di C1. Il circuito presenta due frequenze di risonanza, una serie e una parallelo.
La risonanza serie è espressa con:

mentre quella parallelo con:

da queste due formule si può notare che ws << wp.
In verità la risonanza del quarzo che si andrà realmente a sfruttare sarà una risonanza compresa tra quella serie e quella parallelo:
ws < w < wp
I dati tipici di una lamina di quarzo, opportunamente tagliata ed avente una lunghezza di 27,5 mm, larghezza di 33,3 mm e spessore di 6,36 mm, sono:
L = 3,3 H
C1 = 0,042 pF
C2 = 5,8 pF
Q = 23000
Le pulsazioni di risonanza risultano:
ws = 2,687 * 10^6 rad/sec
wp = 2,696 * 10^6 rad/sec
quindi, come già detto, la risonanza sfruttabile sarà compresa tra questi due valori.
Nota:
In alcuni casi, per ottenere un generatore di onda quadra adatto a pilotare i circuiti integrati digitali, il segnale uscente dall'oscillatore al quarzo deve essere squadrato mediante una o più porte logiche, in modo da rendere ripidi i fronti di salita e di discesa.
Prima di terminare la presente trattazione vorrei specificare alcuni parametri di un oscillatore al quarzo che vanno al di la di aspetti fisici o elettronici.
Un moderno quarzo adatto alla temporizzazione di circuiti elettronici digitali si può acquistare in qualsiasi negozio di elettronica ben fornito. La sua forma è quella di un parallelepipedo schiacciato della dimensione di un pollice ed il suo prezzo non è inaccessibile. Ad esempio, in data di stesura di questa trattazione, un quarzo dalla frequenza di 4 Mhz ha un costo di 1€ e risulta facilmente reperibile.
La presente relazione è tratta da fonti diverse (libri di elettronica e di telecomunicazioni, Internet, ecc.) e non è nata con la pretesa di trattare l’argomento in modo esaustivo.
Questo articolo ti è piaciuto o ti è stato utile? Scrivimi e dimmi cosa ne pensi. Mi incoraggerai a scriverne altri..